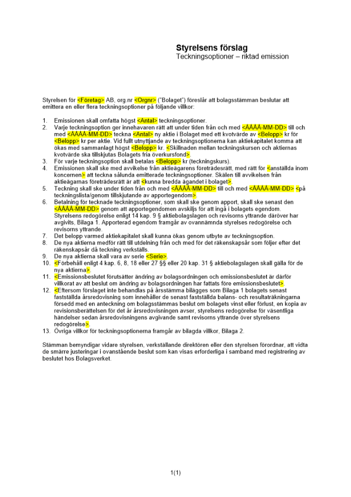
Styrelsens förslag - Riktad apportemission - Teckningsoptioner - Privat avstämningsbolag 2026

Denna mall från DokuMera hjälper dig att upprätta styrelsens förslag till en riktad apportemission i ett privat avstämningsbolag.

En riktad emission är riktad till en viss grupp, t ex befintliga aktieägare. Oftast är den dock riktad till en eller flera externa placerare. Aktieägarna avstår då från sin rätt att teckna nya aktier vid en emission till förmån för någon annan eller andra, vilket bidrar till att bredda ägarbasen i bolaget. Vid apportemissioner tillskjuts egendom till bolaget (apportegendom) i stället för kapital, i utbyte mot aktier i bolaget.

Denna mall från DokuMera är ett förslag från styrelsen till stämman om att genomföra en riktad apportemission av teckningsoptioner i ett privat avstämningsbolag.

Specifikation

  • Styrelsens förslag - Riktad apportemission - Teckningsoptioner - Privat avstämningsbolag 2026
  • 3838
  • 1,32
  • Svenska
  • 10
  • 1
  • docx
595 kr
Välj din plan

Med vårt abonnemang får du obegränsad tillgång till alla våra dokument och guider